
Help us make change.
West prides itself with its acceptance amidst such diverse students. This is not reflected in our mascot. Change and growth is important- help us make that happen.
"WHY IS IT WRONG?"
We realize this is a large change for students, teachers, and alumni. Although this interpretation of a Native was made with no ill intent, its impact on Native Americans as a whole needs to be considered.
Comanche High School decided on The Storm for their mascot because of how the Comanche Tornado of 1860 brought their community together. Having those within the district help choose a mascot would give West an amazing opportunity to better represent our community and what it has grown into since the birth of the school.

Why not join schools like Frontier, St. Francis, and East (not shown, but those who go to games will know what I mean) in having a mascot that is socially acceptable to dress up as? School pride at games and other events is limited when your mascot is an ethnic stereotype; no one wants to cheer for a Caucasian in traditional Native American fashion. Take another step to show that West is best.



No matter our mascot, we will always be West. I would go as far as to say we identify stronger with West than our Indians name- when we say “go West” or remind East that they’re least, we don’t have need for the Native. We simply are West. Retiring our mascot isn’t as big of a change as it might seem.

“It’s an important topic, and a lot of people don't realize that it’s foundational and atmospheric and contextual, but everyone- including policy-makers, including film makers- everyone gets their information through popular culture … if we don't have accurate representation of us there, we’re not going to have good public policy made for us, because policy-makers don't make good public policy for cartoons and mascots and people who allow themselves to be called bad names.”
- Susan Shown Harjo on the National Congress of American Indians video panel.
It's estimated that 48% of tribal homes do not have access to reliable water sources, clean drinking water, or basic sanitation, and are 19x more likely than white households to lack indoor plumbing.Read more about it here.

From the Los Angeles Times: "Navajo member Shanna Yazzie unpacks water and other supplies on her reservation in Cameron, Ariz., during the early part of the pandemic in March 2020.(Gina Ferazzi / Los Angeles Times)" (x)
Native Americans are disproportionately affected by mass incarceration. See how the Native population percentage in South Dakota and Arizona (states with particularly high Native populations) compares to how many make up prisons and jails.Read more about it here.
Indigenous women have alarmingly high rates of going missing and being murdered. Native Hope is an incredible source for statistics and resources that can't all be listed on this site.The red handprint symbolizes violence against Native women. Read more about it on the Native Hope website listed above.Official MMIWG Website

"A woman has a painted red hand over her mouth to show solidarity for missing and murdered indigenous, black and migrant women and children during a rally in 2019." (x)
RJ Sangosti/MediaNews Group/The /Denver Post via Getty Images
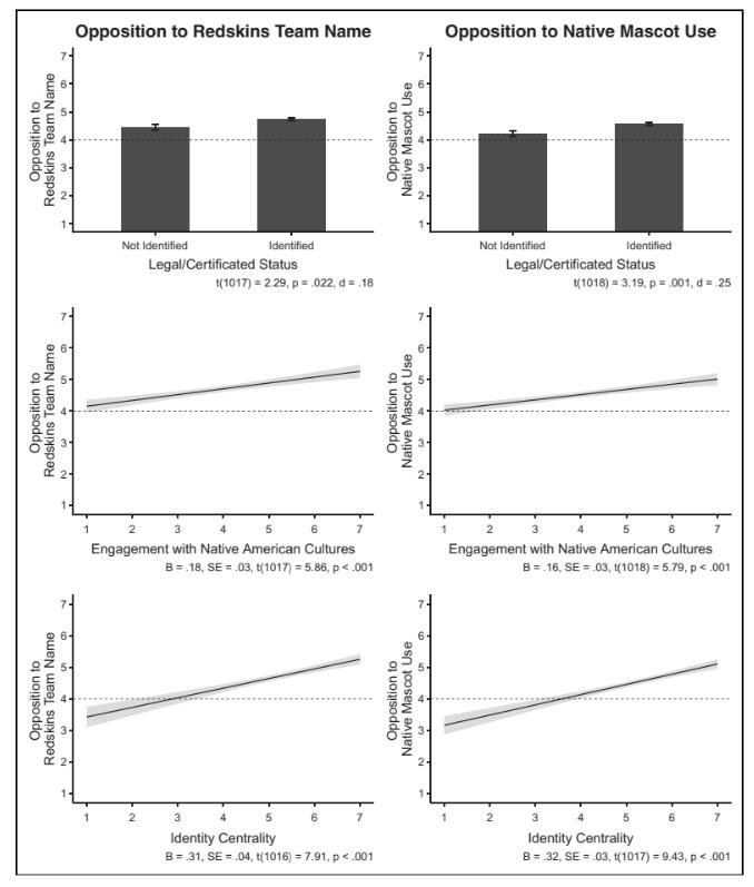
A recent study concluded that, on average, Native American participants opposed the use of Native mascots. Results are displayed based on Native identity (legal requirements, engagement in tribal activities, identity centrality), and sampled from a diverse group of Native Americans (this is the largest study examining opinions on Native mascots to date). This study offers both more nuance (a seven point opinion scale rather than a three point one, as well as an account for identity centrality) and an explicitly large and diverse sample size when compared to previous studies, such as those of the Washington Post.

The study notes the harmful and dehumanizing effects of Native mascots; these mascots not only impact the way non-Natives see Native Americans, but also how Native people understand what they and their communities are capable of. The study points to the epidemic of missing and murdered Native women, unsafe drinking water, and disproportionate rates of death at the hands of police as issues stemming from the silencing of Native voices.
SOURCE:
Fryberg, Stephanie A., et al. "Unpacking the Mascot Debate: Native American Identification Predicts Opposition to Native Mascots." Social Psychological and Personality Science, Volume 12 (1): 11 – Jan 1, 2021
“Since 1970: Roughly two thirds of [Native-themed] mascots retired at K-12, collegiate, and professional sports levels.” (x)

* “But Dana Washington, Kendall Washington’s mother, said in an interview that she grew up in North Haven feeling ashamed of her heritage because Native Americans were associated with negative stereotypes.*
Imaging around ‘Indians’ mascots — depicted as ‘warriors,’ or as aggressors — often is violent, she said, adding that such mascots also ‘(mock) sacred elements.’
‘It affects the way our non-native communities … treat us. Not just us, but also many communities of color,’ she said. ‘It stereotypes behavior, it stereotypes images of how people should look.’” (x)
The North Haven Board of Education votes to retire the “Indians” mascot. Over 300 submissions were considered when choosing a new one, ultimately landing on the Nighthawks.
(More info here)


